分布式训练系统包括AI集群架构、通信机制、并行技术等几个组成部分,基于这些内容,我们可以设计各种大模型算法。下面,我们简单介绍一下大模型的发展、大模型的结构以及SOTA大模型算法。 大型模型的开发随着2017年Transformer结构的引...
随机梯度下降算法是用于优化机器学习模型的常用算法。其目的是最小化损失函数。该算法被称为“随机”,因为它使用随机选择来避免在训练模型时陷入局部最优。在本文中,我们将介绍随机梯度下降算法的工作原理以及如何在 Python 中实现它。 梯度下降算...
实现高斯消元算法的Python代码 我发表了评论。 这里有一个示例:def gaussian_elimination(A, b):"""高斯消元法求解线性方程组 Ax = b参数:A: 系数矩阵b: 常数向量返回值:x: 方程组的解向量"...
Python编写黎曼求和函数求π的近似值import numpy as npdef Riemann_pi(N): pi = 0 fin_sum = 0 for i in range(0,N): mid = (...
1。查询给出二叉树的根节点root来判断二叉搜索树是否正确。 有效的二叉搜索树定义如下:中的节点仅包含小于当前节点的数字。节点 的右子树仅包含比当前节点 大 的数字。 所有 左子树 和右子树也必须是单独的 二叉搜索树。 2。示例2....
1。查询 返回一个整数数组 numbers ,其中元素 按升序排列 ♓❓ 转换 二叉搜索树。 高度平衡二叉树是满足“每个节点左右子树高度差的绝对值不超过1”的二叉树。 2。示例2.1>示例1:【输入】数字 = [-10,-...
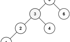
1。问题给定一个二叉搜索树根节点root和一个整数k,请找到算法k最小元素(从开始计数) ) 。 ?输出】12.2> 示例2:【输入】root = [5,3,6,2 = [5,3,6,2,4,1] , k; [输出] 3 提示:树中...
哎呀,在线人数太多了,请重试或公众号【68媒】联系客服...
如何证明一个问题可以用贪心算法解决? 为了判断一个问题是否可以用贪心算法解决,通常必须满足两个条件: 贪心选择的性质:通过一系列局部最优解可以得到问题的最优解。这意味着在每个选择步骤中,都会选择当前的最优解,而不考虑以后的影响。 最优子的结...
在工作中,我们经常会使用MySQL的order by方法来对数据进行排序,但是还是有很多开发场景无法通过MySQL排序来获取数据,不得不自己开发。今天我们就重点讲解一下四种常见的排序算法。 1。冒泡排序这应该是最熟悉的排序了,而且它的实现也...