1。简介 数组可以存储不可分割的数据元素,例如字符“X”和数字11。当然,它们也可以存储数组,例如二维数组。你可以理解为二维数组每一行的元素都是该列对应元素的组合。 广义表是一个线性表,或者换句话说,它是线性表的泛化。这是一个多级线性表。...
1。创建泛化表 如图所示,泛化表的所有节点连接成一排。一些节点存储原子数据,一些节点存储原子数据。 Dot存储的是另一个广义表数据,我们创建一个数据串 ss = "(2,3,4, (1, (3, ( 7,8 ) ),2) )";基本上可以分...
1。二叉树简介 二叉树是 n (n>=0) 个节点的有限集合。该集合要么是空集(称为空二叉树),要么由一个根节点和两个不相交的左子树子树和右子树(分别称为根节点)组成。 如图 如图,每个结最多有一个左结和一个右结,没有多余的结。这是二...
1。什么是树? 树是一种数据结构。它是一种非线性数据结构。上面我们提到的大部分数据结构都是线性的,也比较简单。数据结构,下面的树和图都是非线性数据结构,也是一个概念很多的范畴。 树是一种由节点或顶点和边(可能是非线性的)组成的数据结构,并且...
存储二叉树1.简介根据前面的介绍,我们知道了二叉树的属性值,二叉树是每个节点的一种。只允许有左子树和右子树(或空树)的树进入其中。这种数据结构在我们的实际设计中使用的非常频繁。比如上面提到的STL中的字符串集合,底层就是一个标准的红黑树(二...
1。遍历简介: 树是一种非线性数据结构。当我们获取数据时,我们需要计划演练。所谓遍历,就是遵循一定的规则。数据结构中的所有信息都是按顺序访问的,二叉树本身没有自然的全局顺序。因此,为了实现遍历,必须通过在每个节点及其子节点之间就某个局部顺序...
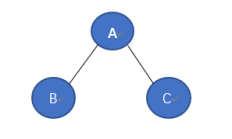
1。简介 继续下面三句话: 前序遍历:根左右 中序遍历:左根右 后序根转移 上面我们遇到了前序遍历:顺序遍历。在这篇文章中,我们就按顺序开始学习复习。顺序遍历采用左根右遍历。如图是最容易的。对于二叉树遍历来说,按顺序遍历的过程是...
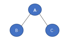
1。简介 还是下面三句: 前序遍历:根左右中序:左根右 后序遍历就是用先左后的方法访问二叉树的节点时先向右,然后向根。对于a最简单的访问如图所示。首先访问左节点B,然后访问右节点C,最后访问根节点A,顺序遍历访问顺序为BCA。 但得来...
1。 DFS简介深度优先搜索算法(英文:Depth-First-Search,简称DFS)是一种遍历或搜索树或图的算法。沿着树的深度遍历树的节点,尽可能深地搜索树的分支。当节点v的边已经被探索过或者搜索时该节点不满足条件时,搜索将返回到找到...
1.模拟方法介绍我在上一篇文章中提到了模拟的思想。模拟思维无处不在,就像DFS树算法一样。一般来说,我们大多数人都不会构建一棵对于我们的写作和易用性而言过于精简的树。我们通常会使用多个数组来进行模拟,也可以使用数组来模拟树。 如下图: 上一...