马尔可夫隐藏概率(HMM)、前向/后向算法、维特比算法
HMM模型
图1
如上图所示,白线代表隐藏的马尔可夫序列生成的不可观察链。 ,蓝紫色线是各个状态生成的可观测随机序列
也就是说,上面也是一个贝叶斯网络,并且贝叶斯网络还有一种类型,如下:
![]()
表示:当c为确定,a和b独立。 (c为实心圆,代表:c已确定)
此时如果把z1看成a,x1看成b,z2看成c,那么第一张图中的z1就观察不到了(所以)。 z1是空心圆),即未定义,则x1和z2必须连通。
此外,如果z2和x2改为c,那么x1一定与z2和x2相关,那么x1和x2是相关的(不是独立的)。
提升后:x2和x3不独立,x1和x3不独立,因此xn彼此不独立。
| PS: LDA 假设文章中的单词是相互独立的,而在 HMM 中所有观察结果并不是相互独立的。 因此,对于机器学习文章,LDA 会将“机器”和“学习”拆分为两个词,而 HMM 会将其视为一个词。 |
HMM判定
初始概率分布
z1可以是状态1,状态2...状态n,所以z1有N个点分布:
Z12状态2 | .. . | 状态n | ||||||||||||||||||||||||||||
概率 | P1 | P2 | ...♼信号向量。 上面的n维向量就是初始概率分布,记为π。 状态转移矩阵但是Z2不能“等于上面”,因为Z2和Z1不独立,所以Z2处于状态1的概率为:当Z1处于状态1时,Z2处于状态1,并且Z1处于状态1.状态2,Z2状态1,...,Z1状态n,Z2状态1,所以下表是
即:Z1->Z2对应一个n*n矩阵。 同理:Zi -> Zi+1对应一个n*n矩阵。 上面的n*n矩阵称为状态转移矩阵,用An*n表示。 当然,如果要说的话,状态转移矩阵 Zi -> Zi+1 -> Z i+1i +1i+1转移矩阵的判定相同,即只有一个状态转移矩阵。 图1的第一行已经完成,这是第二行。 观测矩阵如果对于 zi 有:状态 1,状态 2,...,状态 n,则每个状态 zi 将产生以下 m 个观测值之一:观测值 1,观测值 2,...。 ..,观测值 m,因此有以下矩阵:
这可以用n的矩阵表示,也就是观测矩阵,称为Bn*m。 因为HMM可以用上面的π、A、B来描述,所以我们可以说:HMM是由初始概率分布π、状态转移概率分布A、观测概率分布B决定的。为了表达方便,取A、B , π 用 λ 表示,即: λ = (A, B, π) 示例比如我们相对下面这行进行分词: 如果分了怎么办像这样:找到“终止词”,然后根据单词终止符来划分单词。含义:对于这行词来说,“welcome、attend、me、de、guest”是最后一个词,所以最后一个词分隔就是:welcome/to/my/the/blog 让我们用上面的知识来创造此示例的 HMM 为 A、B、π: 初始概率分布确定: 1。对于每个样本,我们的目标是确定它是否是“终结词”,因此对于每个样本,状态只有 n= 2:状态 1 - 是,状态 2 - 否。 2,所以初始概率分布π为: π = {p1, p2} P1:整个句子中第一个单词作为非终结词的概率 | |||||||||||||||||||||||||||
第一个单词整个句子该词作为最后一个词的概率 确定状态转移矩阵: 我只知道有n=2个状态,所以直接得到状态转移矩阵,即状态转移矩阵是一个n*n矩阵,如下: A= p11:单词不结束的概率->单词不结束。 p12:可能的单词未结尾 -> 最后一个单词。 p21:结束词->非结束词的概率。 p22:停止词 -> 可能的停止词。 确定观察矩阵: 如果目标文本使用Unicode编码,那么上面的单词包含0到65535之间的数字,那么我们的观察将有m=65536,所以观察矩阵是...... n*m 矩阵,如下: B= p1,0:Unicode 编码中 0 对应的汉字作为非终结符的概率 p1,65535:Unicode 中非终结符为 65535编码 终止词概率 p2,0:Unicode 编码中 0 对应的一个汉字是停用词的概率 p2,65535:对应 6 个汉字的概率。 Unicode编码是一个停用词 PS:为什么x有65535个观察值? “欢迎来到我的博客”显然只有8个字。因为HMM面临的真实情况,即:存在Z1=“非终结词”的情况,那么根据这种情况从65535个单词中选择单词x1=“欢”,然后根据状态转移矩阵,接下来转入Z2=“停止词”,然后根据Z2从65535个单词中选出单词x2=“问候语”,这样最终就生成了这句话。 HMM 的两个基本属性
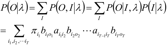
同质性假设当前状态的总和与先前状态相关。用公式表示为: P(zt|z t-1t |z 3t-1, | ,zt-2,xt-2,...,z1。 所有观察结果都是相互独立的。: P(x z , xt-2 ,..., x呢 其实如果严格考察的话,x1 和 x2 确实不独立,因为 x1 是由 z1 生成的, x2是由z2生成的,但是z2的形成是受z1影响的,所以x1和x2一定是相关的,但是为了学习和简单应用,假设产生x1的z1和产生x2的z2不是独立的,但x1和x2是独立的。 三题HMM现在有一些问题: 1、知道HMM参数λ=(A,B,π)和观察顺序O={o1,o2 , ..., oT 根据模型 λ 观测序列 O 出现的概率 P(O | λ)。 2.如何确定 HMM 参数? 例子:目前中文分词的一个小例子。 π的初始概率分布很容易确定:是否是终结词的概率。 观测矩阵B也很容易确定:1/65535 但是状态转移矩阵如何确定呢?我如何知道下一个单词是终结词的概率? 3,了解HMM的参数λ=(A,B,π)和观测序列O={o1,o2,...,o❀如何计算State以条件概率对给定的观察序列最大的 P(I|O, λ) 进行排序,即: 对于中文分词,我想知道如何分词。 上面三题: 第一题叫做:概率计算问题。 解法:前向-后向算法(动态规划算法)。 第二个问题叫做:学习问题。 解决方案:如果状态序列已知,则使用最大似然估计。然而,HMM状态的序列是未知的,即它包含隐藏变量,因此必须使用Baum-welch算法(实际上,它本质上是一种EM算法)。 第三个问题叫做:预测问题/解码问题。 解法:维特比算法(动态规划算法)。 概率计算问题该问题有两种解决方案: 1,直接/暴力算法。 2,前向/后向算法。 上述两种算法中的“粗暴法”在实际应用中不会使用。 P:为什么这么说! (踢) A:了解直接/强力算法可以帮助您创建 Baum-welch 算法。 (反击!) 直接/蛮力计算方法问题:HMM 的参数 λ 已知,观测序列 O = {o1, o, ... 3T },找到P(O|λ) 这个想法的本质:奇迹可以通过强大的力量发生。 想法: 1,列出长度为T的所有可能状态序列 I = {i1, i2, ..., i♷; 2. 求每个状态序列 I 和观测序列的联合概率 P(O,I|λ); 3。将所有可能的状态序列 Σ_IP(O,I|λ) 相加得到 P(O|λ )。 步骤: 1。主要目标是求 O 和 I 一起出现的组合概率,即: P(O,I|λ)= P(O|I, λ)P(I|λ ) 那么你需要找到 P(O |I, λ) 和 P(I|λ)。P I|λ) = P(i1,i2,..., iT |λ)♹♹ λ) P (i , i i 1, λ)P(i3, i4, ..., iT |) |) | =P (我? (i T | iT-1, λ) | iT-1 , λ) 概率 P(i)上面是 P(i) 状态 i1,P(i2 | i1, λ) 是从状态 i1 到 i2 的转移概率。分别得到结果:
PS:上面的i1i2代表' P(O|I, λ), i的第i1行第i'列‿。 e. ,对于稳态序列 I,观察到序列 O 的概率为:
4。切换到第一步求 P(O,I|λ)。
5,将所有可能的状态序列 I 求和,得到观测序列 O 的概率 P(O|λ):
时间复杂度: 每个时刻有 n 个状态,其中有 t 个时刻全部的。 ,根据上面第5步,我们可以知道每个时刻都要乘以2T-1,所以时间复杂度为:O((2T-1)nT) 前向算法/后向算法 前向算法前向概率 - 后向概率如下图所示:
第一行是未观测到的状态序列,第二行是可观测到的观测值序列。 前向概率的定义为:当第t时刻的情况为i时,被观测前的y1,y2,...,yts。 。概率,即:
后向概率的定义为:当第t时刻的情况为i时,观察到yt+1,yt如下。分别时间。概率 , ..., yT,为: 前向算法如果前向概率 t=T i (T) = p(y1,y2, ..., yT, q❀T, q❀ = i | λ) 则这意味着当最后一个时刻在我第-状态 ,观察到 y1, y2, ..., yT 的概率不是直接结果。方法" "在步骤 4 中找到 P(O,I|λ)。 因此,如果我们将 αi(T) 与 i 相加,即: | T) + α2(T) + ...+ α n(T) 公式1 是观测值的概率P(O|)。那么如何计算α1(T) +α2(T) + ...+ αn(T)呢? | |||||||||||||||||||||||||||
嗯。 ..如果我们可以计算出 T-1 时刻的前向概率,即 α1(T-1) +α2(T-1) + ... + 如果 αn (T-1),则可以计算出式1(HMM参数已知,可以根据参数确定)。那么就可以得到T-1时刻的概率,那么就可以得到T时刻的概率。 按照这个想法:啊!我只需要计算1时刻的前向概率就可以算出结果了! 我刚刚得到一个有趣的结果,那就是:当我找到前1时刻的前向概率αi(1)后,与找到最后一个结果相同,然后 i (1)是什么?刻 当第一时刻的第一个状态为No时,Y1的概率是多少。 i,即: α❀♺i (1) = p (y1, q1=i | λ) 且第一时刻状态的概率为第 i 个国家为 π ,在第 i 个国家获得观测值 y1 的概率为 Biy1,因此: αi |
i * Biy1
PS:因为我不知道今天是什么日子,所以下一步应该在这里统计所有国家,即:统计所有α1(1 ) ~ αi(1)
好吧,章节到了,我们就往后推。
假设现在是第t时刻,此时的情况是t状态j。然后我想求在时间 t + 1 时状态为 i 的进展概率。我可以这样找到:
时间 t+ 求 αi 的进展概率的方法(t+1) 从 1 开始就是:t 时刻的状态转变到 t + 1 时刻的状态的概率是所有状态的总和 * 观察到 t 时刻的状态的概率,换句话说:t 时刻进展的概率是观察到的所有状态的总和 * 时间 t 时的状态概率。
即:
ai(t+1) = (Σ_j_j j(t)aji ) biy(t+1)
解释:
首先,状态 j 在时间 t 的进展概率为 aj❀。
现在t时刻状态j的概率已知,将状态j转移到状态i的概率乘以t+1时刻状态i的概率,即aj (t)aji。
但无法观察到状态。所以我们需要统计t时刻的所有状态,所以需要j的个数,即: Σ_j aj33 ,这是从时间 t 的状态到时间 t + 1 的状态的总转换概率。
但这还没有完成,因为我们还需要得到国家的观测值,所以我们需要乘以国家i,得到观测概率yt+1,于是就变成了上面的公式。
现在ai(t+1)知道如何查找,那么并不意味着所有的前向可能性都知道如何查找,所以我们用目前的结论:P(O|λ) = α1(T ) +α2(T) + ... + αn(T),则可求出观测序列O的概率P(O|λ),即:
P(O| λ) =Σ_i αi(T)
好了,下面的算法就完成了。
前向算法概述
![]()
初始值:αi(1) =π iy 1 递归:对于 t = 1, 2, …, T -1
ai(t+1) = (Σ_j1
(t)a ji)biy(t+1)
最后: P(O|λ) =Σ_i α PS: α 这里i (t) 其中 i 表示状态i-th 和 t 表示时间-t。有的教程中,i和t的位置改变了,变成αt(i),本质上是一样的。
高级算法示例
假设有 3 个盒子,编号为 1、2、3。每个盒子包含红球和白球。数量如下:
然后按照下面的方法画一个小球,得到球颜色观察的顺序:
1,按照概率π=(, , )选择一个盒子,随机抽出 从盒子里取出1个球,记录颜色并将其放回盒子里;
2、按照下图A选择一个新的方框,按照下图B画一个球,重复上面的过程;
PS:
A的第i行是选择第i个框,第j列是转移到j个框,如:第一行第二列显示:上次选择1号盒子后,这次选择2号盒子的可能性。
B的第i行是选择第i个方格,第j列是抽出第j个球。例如:第二行第一列表示:选择2号框后,抽到红球的概率为。
![]()
问题:得到观察序列“红、白、红”的概率是多少?
说明:
1,很清楚:HMM模型的参数已经如上图所示,那么我们还需要解释两件事:HMM中的“不可见条件”和“可见观察”是什么区别。
根据题目,“可见观察”为:y=“红、白、红”,“不可见条件”为选了3次的方框,一共有3个条件:选了方框1。 ,选择框 2 框号。 3、选择框编号3. 2个时刻 在时间1内进展到“选择1号盒子”状态的概率,所以:α1(1) =“选择1号盒子”*“选择红球”=π0* B10= * =
同理:α2(1) =* = (1) =* 0.7 = 8.
3,计算αi(2) :
根据公式:
(2): › = (Σ_j α ( 2)αj1 ) b1y2
= (* + 6*0.3 + 8*) *
α2(2) = 104
α3(2) =
4,与 α 相同i(2) , 计算 α♸i(2), 计算 α♸♸♸
α1(3 ) =
α2(3) = α3(3) =
5, 最后
αi (3) = + +
= 3022 向后算法
在前向算法的基础上,后向算法,因为前向算法很容易讲。首先是最后一个,然后推到第一个。所以就不详细说了,直接上结论:
后向算法总结
![]()
初始值:βT(i)(i)(i) (i) )(i)(i) 对于 1 的可能性是 - - 本来我们需要看看时间 T 后面是什么,但是因为时间 T 结束后没有时间,所以就是,不需要再观察什么,所以你可以给我任何东西。想要,我不在乎。
递归:对于 t = T-1, T-2,…, 1
βi(t) = (Σ1βi (t) = (Σ1 a ij B jy (t+1) βj (t+1))
PS:这一步是计算时间T+1 之后 T+ 1 i(t),因此:
βi(t) = 从时间 t 的第 i 个状态到时间 t 第 j 个状态的转换t 状态 aij * 时间 t+1 时的状态 j 给出 y(t+1) 观察概率 bjy(t+1) t+1 后验概率 * 时间。
最后: P(O|λ) =Σ_i πibiy1❀ibiy1♺(1) PS :同步骤2,不过这是第一个时刻。
前向概率和后向概率的关系
![]()
我就不做特别解释了。简而言之:
如果你有所有的观测值,有的概率t 时刻的第 i 个状态 = t 时刻的前向概率 * t 时刻的后向概率,即:
P(it = qi, Y | λ ) = αi (t)(t)(t)(t)(t)
(t) 单身概率这里的单一状态是什么?给定观测值 O 和 HMM 参数 λ,在时间 t 处于隐藏状态的概率可写为: γt(i) = P(i t= q i | O, λ) PS: O 是所有观测值的集合,即:O = {y = , y = o , …,yT = oT非常好,我们可以估计t时刻的隐藏状态,然后找到隐藏状态的序列! PS:这确实是一种求隐藏状态序列的方法,但是这样做有一个问题——隐藏状态是独立获得的,也就是说,它没有考虑当时的隐藏状态。 t + 1 由 Condition 给出,其中状态在时间 t 转移时被隐藏。换句话说:这样的隐藏状态就是“每个隐藏状态只是当前时刻最优的,但每个隐藏状态没有考虑到全局情况”。 而且解法也很简单,如下:
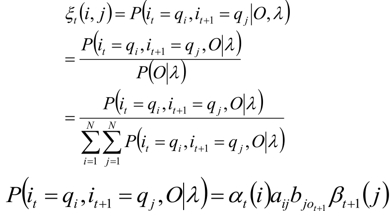
两个状态的联合概率通过“一个状态的概率”得到的t时刻的隐藏状态现在不取“上下文”,那么考虑下面的Context ,即:当时间 t 处于隐藏状态 i 时,时间 t + 1 处于隐藏状态 j,可写为: editt( i, j) =P( i t O, λ) 解法及推导:
一些希望
学习问题有两类:1。给出了观察序列和隐藏状态序列。找到隐马。 PS:这种学习就是监督学习。 2,给出了观察序列,但未给出隐藏状态序列。找到隐马。 PS:这种学习是无监督学习,使用Baum-Welch算法。 观察序列和隐藏状态序列都给出这种方法非常简单:使用大数定理使用频率来估计三个可能的 HMM。
说明: 仍然是使用第一个单词的示例。 初始概率: i = 0:第一个字母的两倍是最后一个单词/(第一个字符的两倍是最后一个单词 + 时间不是最后一个单词) i = 1:第一个文本的数量不是最后一个单词 / (第一个文本是最后一个单词的次数 + 第二次不是最后一个单词) 转换概率: i=0,j=0:第 t 个单词是最后一个单词,单词 t+1 是单词之和/(单词 t -th 是单词,单词 t+1-th。单词是单词数 + 单词 t 是单词,而单词 t+1 不是单词 Vanda +第 t 个单词不是最后一个单词且单词 t+1 为最后一个单词 + 单词数 t-ne 不是最后一个单词且 t+1 也不是最后一个单词) i=0, j =1、i=1、j=0、i=1、j=1 相同。 观察概率: i=0,k=0:一个单词在Unicode编码中被编码为0作为单词终止符的次数/(单词在Unicode编码中被编码为0作为单词终止符的次数+数字of times coded in Unicode 编码 一个单词被编码为 0 非终止符的次数) i=1,k=0: 一个单词在 Unicode 编码中被编码为 0 非终止符的次数/(多少次一个单词在Unicode编码中被编码为0作为终止符的次数+在Unicode编码中被编码为0的单词有多少次不是终止符) 与其他k=j相同。 Baum-Welch算法其实这个算法的核心是EM算法,因为要解决的问题是:当有一个观测值X,并且该观测值有一个隐变量Z时,求根据 HMM 参数 λ 概率 P( X, Z | λ) 进行组合。 ?即: 所有观测数据写为 O=(o1, o2 …o, o2 …o,o 2.、o、o | T 、i1、i2 … iT ),完整数据的对数似然函数为 lnP(O , I | 所以:) 下面是推导:
描述: 第一行:Q EM 函数。 第二行:条件概率公式。 第三行: 第一:直线的分母 第二个表示“最后得到的参数和观测集的联合概率”,对于本次估计没有用处,所以可以丢弃。 也就是说,P(O, I | λ) 在《HMM概率计算问题》的“直接计算法/暴力”中已经解决了。
对于上面的公式,除了HMM参数λ=(A,B,π)之外,一切都是已知的。 上图中,最后一个等号写在第3行,表示一个点:这三行每一行都只包含HMM的一个参数,而我们的目标是求函数Q的最大值,所以只需要需要最后三行。为了便于解释,我将最后三行的三个公式从上到下分别命名为:π公式、α公式、β公式。 使用公式π 求 π。该公式有一个约束:所有 πi 的总和为 1。 所以对于有约束条件下求极值的问题,拉格朗日乘子法就是答案! 1,拉格朗日函数
2,利用上式求πi的偏导数 与 和 i 若和为1,则消去π,即可得到拉格朗日参数
4。将上式带入第二步公式,可得 π:
而由上式求得 γ 为《HMM 概率计算问题》中“单一状态的概率”中的 γ(PS:不是拉格朗日参数) ”,这样π就计算出来了! 求出α的公式α 公式可以写成
仍然使用拉格朗日乘子法,我们得到♿上面的公式♿“单一状态的概率” 》《HMM概率计算问题》中的γ ,上式中的Ψ是《HMM概率计算问题》中的《两种状态的联合概率》中的Ψ。《HMM概率计算问题》中的《单状态概率》。对于预测问题: 1、 近似算法,其实就是“HMM概率计算问题”中“单状态概率”的解决方案。 2、维特比算法。下面解释一下。 VIterbi算法在介绍维特比算法之前,我先用通俗语言描述一下。 让我们面对这个问题: 当你在大学时,你让你的室友给你送食物(如果你在大学,别告诉我你不这样做......),然后你室友问你想吃什么?你回答:“你想吃什么我就吃什么,不过回来后我帮你搬一瓶雪碧,谢谢。”于是有趣的事情发生了:你的室友高兴地给你送来了米饭和雪碧:“我走了,食堂的厨师换了,食堂的收银员换了个女孩!!”然后你问他:“你是哪个食堂、食堂的?”他想了想,回答道:“你猜。” 好吧,你猜一猜~ 我觉得是你姐( □′)︵┻⁄┻ 别急着翻盘。你的室友还在给你送食物,所以我们就满足于一个小恶作剧,并将其视为努力工作的报酬。 PS:假设你们学校有2个食堂,2个食堂。 那么,任务开始了! 首先问:你先去食堂吗?答案是:是的。 好了,购物顺序就结束了,如下:
接下来我们想一想: 第一步:宿舍到食堂A和B的距离几乎一样,所以是差不多一样。判断,即从宿舍到食堂A的概率=从宿舍到食堂B的概率,如下;
步骤2:从食堂A、B到食堂1、2有4条路线(A1、A2、B1、B2),那么这4条路线中,到食堂1最短的是A1,到食堂最短的是A1 2是B2。那么这个人总是会选择最近的一个,所以如果他去1号食堂他选择A1,如果他去2号食堂他选择B2,如下:
第3步:看带来的食物,嗯..我记得食堂1有卖这顿饭,但是食堂2不知道,所以就假装没有,然后假设他离开的是食堂1,如下:
第四步:好了,终点确定了,然后退,即选择最近的食堂,所以选择离食堂1最近的食堂A,如下:
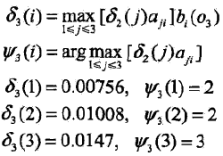
第五步:说话。说:“你先去A食堂,再去1食堂,对吗?”他说:“我是第二好,你怎么知道?” OK,示例完成,我们看一下维特比算法。其实维特比算法就是上面的过程: 1、首先将从前到后的步路径的最大概率相加,最后就得到从起点到各个终点的链接。 。 m条路径(假设有m个端点)。 2。确定终点后,反向选择上一条路径。 3、确定最优路径。 我们来看看维特比算法的定义。 维特比算法定义定义变量δt(i):表示在时间t时状态为i的所有路径中的最大概率值。公式如下:
过程:
以上符号以前见过,这里就不解释了。为了更好地理解这些步骤,我们举一个例子。 示例这仍然是一个足球模型。 盒子和球模型 λ= (A, B,π),状态集 Q={1, 2, 3},观测集 V={红,白},
已知观测序列 O=(红,白色,红色),尝试找到最优状态序列,即最优路径 I*= (i1*, i2*, i |
♽♽ 。 解决方法: 如下图所示(后续步骤中图中的数字会一一递减)
要在所有可能的路径中选择最优路径,请按照以下步骤操作。 1,当开始 t=1时,对于每个状态i,i=1,2,3,求状态i观察到o1为红色的概率,记录这个概率为i) ,则: δ1(i) = πib♷ | |
)=πib (i) 红色), i = 1, 2, 3 更改实际数据 δ1(1),(1) = 0, 1 (3) = 8 记住ψ1(i) = 0, i = 1, 2, 3. 2, 当 t=n ❀ 当 t i2 时,找到当 t=1 时观察到状态 j 为红色的路径,当t=2时状态i观察到白色最大概率计算:
同理,当t=3
3时,找到最优路径的终点 令P*表示最优路径的概率,则
最优路径的终点为 i3 *:
最优路径的终点为 i3 *: | |
* ,i1*:当t=2时,i ❀ | (i3*) =ψ3(3 ) = 3 当 t= 2、i1* = ψ 2(i)(i)(i ψ2(3) = 3 然后选择最优路径,也就是说,最有状态的序列 I* = (i1*,i2* , i♷ = , 3, 3)。 |
版权声明
本文仅代表作者观点,不代表Code前端网立场。
本文系作者Code前端网发表,如需转载,请注明页面地址。
code前端网