矩阵矩阵概括表:矩阵矩阵介绍及乘法运算(附C语言实现代码)
1.矩阵概念
在数学中,矩阵(Matrix)是排列成矩形矩阵的一组复数或实数。最早的方程组中的系数和常数的方阵。这个概念最早是由19世纪英国的凯利提出的。
矩阵是高等代数中的常用工具,也常用于统计分析等应用数学学科。在物理学中,矩阵用于电路、力学、光学和量子物理学;在计算机科学中,三维动画制作也需要使用矩阵,尤其是在计算机成像领域,使用矩阵来表示图像元素是很常见的。 。矩阵运算是数值分析中的一个重要主题。将矩阵分解为简单矩阵的组合可以在理论上和实践上简化矩阵运算。
按照m×n个数aij排列的m行n列的数表,称为m行n列矩阵,简称m×n矩阵。标记为:
![]()
这m×n个数称为矩阵A的元素,或者说元素太短。数字aij放在矩阵A的第i行j列,称为矩阵A的(i,j)元素。以数字的形式表示A为(i,j)元素的矩阵可记为 (aij ) 或 (aij)m × n,m × n 矩阵 A 也记为 Amn。
注:关于矩阵的概念有很多,矩阵运算是计算机图形学、数学等学科的必备知识。如果你想完整地写下来,你可以写一本书。本文简要介绍了矩阵的基础知识。理解加法、减法、乘法和除法需要知识,其中乘法在计算机中被广泛使用。
2。矩阵乘法
只有当第一个矩阵 A 的列数和第二个矩阵 B 的行数相等时,才能定义两个矩阵的乘法。如果A是m×n矩阵,B是n×p矩阵,则它们的乘积C是m×p矩阵,其元素之一为:
![]()
,乘积记为:C=AB
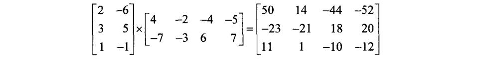
例如:
![]()
3。矩阵乘法实现代码
用C语言实现,核心思想是用for循环对每一位进行相乘,将矩阵1的行与矩阵2的列相乘,逐步补全整个矩阵。
#include#include#include♷#define M 100❝❤矩阵1[ M][M],matrix2[M][M], row1,col1,row2,col2; int ans[M][M]; printf("输入第一个矩阵的行高和列宽:"); ,&row1,&col1); printf("输入第一个矩阵:\n"); (i=0; i |
版权声明
本文仅代表作者观点,不代表Code前端网立场。
本文系作者Code前端网发表,如需转载,请注明页面地址。
code前端网