数据挖掘算法——PageRank及建立的模型
PageRank是由Sergey Brin和Larry Page在1998年WWW7会议上提出的,用于解决链接分析中的网页排名问题。在衡量网页排名时,直觉告诉我们:
- 当一个网页链接到另一个网页时,它的排名会更高;
- 高排名的网页应该有更大的投票权,也就是说,当网页链接到高排名的页面时,其重要性也应该增加。
对于这两个直觉,PageRank 算法创建的模型非常简单:网页的排名等于链接到该网页的所有网页的加权排名之和:
(1)
PRi 表示第i个网页的PageRank值,用于衡量每个网页的排名;排名越高,PageRank 值就越大。网页之间的链接关系可以写成有向图G=(V,E)。 Edge(j,i)表示网页j链接到网页i; Oj 是网页 j 的退出率,也可以认为是网页 j 的退出链接数(退出链接数)。
假设 P=(PR1,PR2,⋯,PRn)TT 定价为 nk-,直接数为 nnk- 对应于转移矩阵的图G,
Aij={1Oi0if (i,j)εOijwiseAij={1Oiif (i,j)εE0otherwise
n 可重写为等式:
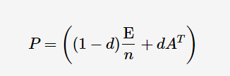
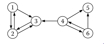
p = Atp这么排第一,是不是鸡蛋有问题?幸运的是,PageRank 使用幂迭代的方法消除了这个问题。 2。求解 为了对上面和下面的求解过程有个直观的了解,我们来看一个例子。网页链接关系图如下: 那么矩阵A就是 所谓幂迭代 意思是P❿先为p,然后求解通过各种迭代: pk = atpk-1最终收敛到 || p k−Pk−1|| 显然,一般情况下,矩阵A不满足这三个性质。为了满足随机矩阵的性质,可以将所有0行替换为e/n,其中e是单位向量;同时,为了满足不可约性和非周期性,必须进行平滑处理: 其中,d 为阻尼因子,通常设置为 0 到 1 之间的常数; E 是单位矩阵。那么,等式(1)改写为 ![]()
![]()
![]()
![]()
版权声明
本文仅代表作者观点,不代表Code前端网立场。
本文系作者Code前端网发表,如需转载,请注明页面地址。
code前端网